Alternating CurrentHard
Question
In the given circuit, the AC source has ω = 100 rad/s. Considering the inductor and capacitor to be ideal, the correct choice(s) is (are)


Options
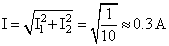
A.The current through the circuit, I is 0.3 A.
B.The current through the circuit, I is 0.3 √2A.
C.The voltage across 100 Ω resistor = 10 √2 V.
D.The voltage across 50 Ω resistor = 10 V.
Solution

Iupper =
ahead of voltageIlower =
behind voltage
V100Ω =

Create a free account to view solution
View Solution FreeMore Alternating Current Questions
The current in a circuit containing a capacitance C and a resistance R in series leads over the applied voltage of frequ...The r.m.s. value of current for a variable current i = i1 cos ωt + i2 sin ωt :-...There is a 5Ω resistance in an A.C., circuit. Inductance of 0.1 H is connected with it in series. If equation of A....A resistor R, an inductor L, a capacitor C and voltmeters V1, V2 and V3 are connected to an oscillator in the circuit as...An alternating potential V = V0 sin ωt is applied across a circuit. As a result the current I = I0 sin flows in it....