Wave OpticsHard
Question
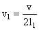
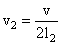
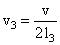
When a string is divided into three segments of length l1, l2 and l3, the fundamental frequencies of thesethree segments are v1, v2 and v3 respectively. The original fundamental frequency (v) of the string is
Options
A.

B.

C.v = v1 + v2 + v3
D.

More Wave Optics Questions
InYoung′s double slit experiment, a mica sheet of thickness t and refractive index m is introduced in the path of ...In Fresnel′s biprism experiment if the screen is moved away from the biprism, then the fringe width will :...In Young′s experiment, one slit is covered with a blue filter and the other (slit) with a yellow filter. Then the ...M1 and are plane mirrors and kept parallel to each other. At point O there will be a maxima for wavelength λ. Light...In Young′s double slit experiment, wavelength of light is 6000. Then the phase difference between the light waves ...




