ElectrostaticsHard
Question
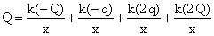
Four point charges -Q, -q, 2q and 2Q are placed, one at each corner of the square. The relationbetween Q and q for which the potential at the centre of the square is zero is
Options
A.

B.Q = - q
C.

D.Q = q
More Electrostatics Questions
Two point charges + q and -q arte held fixed at (-d, 0) and (d, 0) respectively of a x-y co - ordinate system.Then which...A square of side ′a′ is lying in xy plane such that two of its sides are lying on the axis. If an electric f...A solid conducting sphere having a charge Q is surrounded by an uncharged concentric conducting hollow spherical shell. ...A small metal ball is suspended in a uniform electric field with the help of an insulated thread. If a high energy X-ray...Let there be a spherically symmetric charge distribution with charge density varying as ρ (r) = ρ0 upto r = R,...

