Current Electricity and Electrical InstrumentHard
Question
The effective resistance between points P and Q of the electrical circuit shown in the figure is


Options
A.

B.

C.2r + 4R
D.
+ 2r
+ 2rSolution
The circuit is symmetrical about axis POQ. Therefore the equivalent circuit is drawn

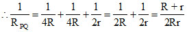
⇒ RPQ =
If a poential difference is applied across P and Q, there will be no currents in arms AO and OB. So these resistance will be ineffective
⇒ RPQ =

If a poential difference is applied across P and Q, there will be no currents in arms AO and OB. So these resistance will be ineffective
Create a free account to view solution
View Solution FreeTopic: Current Electricity and Electrical Instrument·Practice all Current Electricity and Electrical Instrument questions
More Current Electricity and Electrical Instrument Questions
In the following circuit diagram the value of resistance X for the potential difference between B and D is zero : -...In a potentiometer experiment an unknown voltage source is balanced at 60 cm. length where as a 3 volt battery is balanc...A meter bridge is set-up as shown, to determine an unknown resistance ′X′ using a standard 10 ohm resistor. ...In producing chlorine by electrolysis 100 kW power at 125 V is being consumed. How much chlorine per minute is liberated...A battery of emf E and internal resistance r is connected across a resistance R. Resistance R can be adjusted to any val...