NEET | 2013Current Electricity and Electrical InstrumentHard
Question
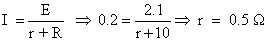
The internal resistance of a 2.1 V cell which gives a current of 0.2 A through a resistance of 10 Ω is
Options
A.1.0 Ω
B.0.2 Ω
C.0.5 Ω
D.0.8 Ω
Topic: Current Electricity and Electrical Instrument·Practice all Current Electricity and Electrical Instrument questions
More Current Electricity and Electrical Instrument Questions
The e.m.f. of a cell is 2.0 volt and the internal resistance is 0.1ohm. It is connected with a resistance of 3.9ohm. The...Assuming the diodes to be silicon with forward resistance zero, the current-I is the following circuit is :-...In a Wheatstone′s bridge, there resistances P, Q and R connected in the three arms and the fourth arm is formed by...When the switches are arranged so that the current through the battery is minimum, what is the voltage across points A a...A 10V battery with internal resistance 1Ω and a 15V battery with internal resistance 0.6Ω are connected in par...

