Magnetic field due to currentHard
Question
A circular coil of radius R carries an electric current. the magnetic field due to the coil at a distance r from the centre of the coil, such that r > > R, varies as
Options
A.l/r
B.l/r3/2
C.l/r2
D.l/r3
Solution
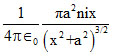
Magnetic field on the axis of the coil is
B =
If x >> a
B =
or B ∝ 
B =
If x >> a
B =

Create a free account to view solution
View Solution FreeMore Magnetic field due to current Questions
An electron is moving around a proton in an orbit of radius 1 and produces 16 Wb/m2 of magnetic field at the centre, the...Two thick wires and two thin wires, all of the same materials and same length form a square in the three different ways ...Due to the flow of current in a circular loop of radius R, the magnetic field produced at the centre of the loop is B. T...A thin circular disk of radius R is uniformly charged with density σ > 0 per unit area. The disk rotates about ...A particle of specified charge (q/m) is projected from the origin of coordinates with initial velocity [uî + vĵ...