ThermodynamicsHard
Question
A black body, at a temperature of 727oC, radiates heat at a rate of 20 cal m-2s-1. When its temperature is raised to 727oC, the heat radiated by it in cal m-2s-1will be closest to:
Options
A.40
B.160
C.320
D.640
Solution
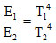
We know that
we E = σT4 ⇒


⇒ E1 = 20 × 16 = 320 cal m-2s-1
we E = σT4 ⇒
⇒ E1 = 20 × 16 = 320 cal m-2s-1
Create a free account to view solution
View Solution FreeMore Thermodynamics Questions
1 calorie is equal to how many joules ?...Which of the following is incorrect regarding the first law of thermodynamics?...A refrigerator with coefficient of performance 1/3 releases 200 J of heat to a hot reservoir, then the work done on the ...A block of ice at -10oC is slowly heated and converted to steam at 100oC. Which of the following curves represents the p...The adiabatic elasticity (EΦ) of H2 gas (γ = 1.4) under normal temperature and pressure will be :...