NEET | 2013ThermodynamicsHard
Question
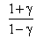
The molar specific heats of an ideal gas at constant pressure and volume are denoted by CP and CV, respectively. If
and R is the universal gas constant, then CV is equal to :
and R is the universal gas constant, then CV is equal to :Options
A.

B.

C.

D.

More Thermodynamics Questions
Two identical masses of 5 kg each fall on a wheel from a height of 10m. The wheel disturbs a mass of 2kg water, the rise...At what temperature the molecules of nitrogen will have the same rms velocity as the molecules of oxygen at 127oC...An ideal gas is subjected to an isothermal expansion such that its volume change fromVi to Vf and pressure from Pi to Pf...A vessel contains a mixture of one mole of oxygen and two mole of nitrogen at 300 K. The ratio of the average rotational...A solid body of constant heat capacity 1 Jo/C is being heated by keeping it in contact with reservoirs in two ways -(i) ...
