EllipseHard
Question
et the eccentricity of the hyperbola
= 1 be reciprocal to that of the ellipse x2 + 4y2 = 4. If the hyperbola passes through a focus of the ellipse, then
= 1 be reciprocal to that of the ellipse x2 + 4y2 = 4. If the hyperbola passes through a focus of the ellipse, thenOptions
A.the equation of the hyperbola is 

B.a focus of the hyperbola is (2, 0)
C. the eccentricity of the hyperbola is
D.the equation of the hyperbola is x2 - 3y2 = 3
Solution
Ellipse is
12 = 22 (1 - e2) ⇒ e
∴ eccentricity of the hyperbola is
⇒ b2 = a2
⇒ 3b2 = a2
Foci of the ellipse are (√3, 0) and (- √3, 0).
Hyperbola passes through (√3, 0)
= 1 ⇒ a2 = 3 and b2 = 1
∴ Equation of hyperbola is x2 - 3y2 = 3
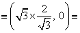
Focus of hyperbola is (ae, 0)
(2, 0)
12 = 22 (1 - e2) ⇒ e

∴ eccentricity of the hyperbola is
⇒ b2 = a2
⇒ 3b2 = a2 Foci of the ellipse are (√3, 0) and (- √3, 0).
Hyperbola passes through (√3, 0)
= 1 ⇒ a2 = 3 and b2 = 1∴ Equation of hyperbola is x2 - 3y2 = 3
Focus of hyperbola is (ae, 0)
(2, 0)Create a free account to view solution
View Solution FreeMore Ellipse Questions
A rectangle PQRS is formed, where P,Q lie on y2 = 4x (0 2 = - 4x (-4 ≤ x = 1 (0 , then -...A focus of an ellipse is at the origin. The directrix is the line x = 4 and the eccentricity is 1/2. Then the length of ...Let the length of the latus rectum of an ellipse $\frac{x^{2}}{a^{2}} + \frac{y^{2}}{{\text{ }b}^{2}} = 1,(a > b)$, b...Find the equation of the tangent to the ellipse x2 + 2y2 = 4 at the points where ordinate is 1....Number of points on the ellipse = 1 from which pair of perpendicular tangents are drawn to the ellipse = 1 is :-...