JEE Advanced | 2013GravitationHard
Question
Two bodies, each of mass M, are kept fixed with a separation 2L. A particle of mass m is projectedfrom the midpoint of the line joining their centres, perpendicular to the line. The gravitational constantis G. The correct statement(s) is (are) :-
Options
A.The minimum initial velocity of the mass m to escape the gravitational field of the two bodiesis 

B.The minimum initial velocity of the mass m to escape the gravitational field of the two bodies is 

C.The minimum initial velocity of the mass m to escape the gravitational field of the two bodies is 

D.The energy of the mass m remains constan
Solution

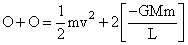
Total energy of m is conserved for escape velocity
K.Ef + P.Ef = K.Ei + P.Ei


Create a free account to view solution
View Solution FreeMore Gravitation Questions
The escape velocity for a body projected vertically upwards from the surface of earth is 11 km/s. If the body is project...If the radius of the earth to shrink by one per cent, its mass remaining the same, the acceleration due to gravity on th...Four particles, each of mass M and equidistant from each other, move along a circle of radius R under the action of thei...The ratio of escape velocity at earth (υe) to the escape velocity at a planet (υp) whose radius and mean densi...The magnitudes of gravitational field at distance r1 and r2 from the centre of a uniform sphere of radius R and mass M a...