Chemistry miscellaneousHard
Question
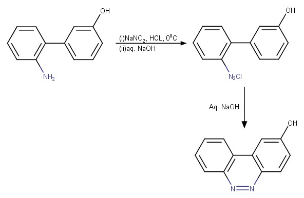
The major product of the following reaction is

Options
A.

B.

C.

D.

More Chemistry miscellaneous Questions
Which of the following is most reactive toward AgNO3 or SN1 reaction ?...The mass of 70% pure H2SO4 required for neutralisation of 500 ml of 2M of NaOH is :-...Which one of the following conditions will favour maximum formation of the product in the reaction A2(g)+B2(g)⇌X2(...CH3 - CH2 - NO2 Product is :-...Which is monomer of Polystyrene ?...
