SHMHard
Question
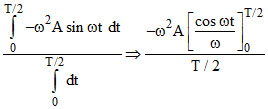
The magnitude of average acceleration in half time period from equilibrium position in a simple harmonic motion is
Options
A.
B.
C.
D.Zero
More SHM Questions
A particle moves along the Z - axis according to the equation z = 5 + 12 cos , where z is in cm and t is in seconds. sel...Time period of small oscillation (in a vertical plane normal to the plane of strings) of the bob in the arrangement show...Which vector in the figures best represents the acceleration of a pendulum mass at the intermediate point in its swing?...Two plates of same mass are attached rigidly to the two ends of a spring as shown in figure. One of the plates rests on ...A test tube of length l and area of cross-section A has some iron fillings of mass M as shown in figure. The test tube f...