Photoelectric EffectHard
Question
The de Broglie wavelength of an electron moving with a velocity 1.5 × 108 ms-1 is equal to that of a photon. The ratio of the kinetic energy of the electron to that of the energy of photon is :
Options
A.2
B.4
C.1/2
D.1/4
Solution
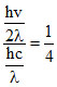
λd = 
Eλ = energy of photon =
e− = 
The required ratio =
Eλ = energy of photon =
The required ratio =
Create a free account to view solution
View Solution FreeMore Photoelectric Effect Questions
If potential difference applied to an X-ray tube is V volt, then minimum wavelength of X-rays produced is about (in ) :...The De-Broglie wavelength associated with electrons revolving round the nucleus in a hydrogen atom in ground state, will...The energy of a K- electron in tungsten is -20 keV and of an L-electrons is -2 keV. The wave length of X-rays emitted wh...When light is incident on surface, photo electrons are emitted. For photoelectrons :...The speed of a proton is . The wavelength associated with it will be -...