FrictionHard
Question
A block A (5 kg) rests over another block B (3 kg) placed over a smooth horizontal surface. There is friction between A and B. A horizontal force F1 gradually increasing from zero to a maximum is applied to A so that the blocks move together without relative motion. Instead of this another horizontal force F2, gradually increasing from zero to a maximum is applied to B so that the blocks move together without relative motion. Then


Options
A.F1 (max) = F2 (max)
B.F1 (max) > F2 (max)
C.F1 (max) < F2 (max)
D.F1 (max) : F2 (max) = 5 : 3
Solution
(B,D) Case I
Since, no relative motion
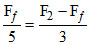
Ff is friction between A and B
a =
⇒ F1(max) =
Ff
Case = II
a =
⇒ F2(max) =
Ff
Clearly ; F1 (max) > F2 (max)
and
Since, no relative motion
Ff is friction between A and B
a =
Case = II
a =
Clearly ; F1 (max) > F2 (max)
and
Create a free account to view solution
View Solution FreeMore Friction Questions
A wooden block of mass m resting on a rough horizontal table (coefficient of friction = μ) is pulled by a force F a...A uniform metal chain is placed on a rough table such that one end of chain hangs down over the edge of the table. When ...A block of mass M is pulled along a horizontal friction surface by a rope of mass m. If a force P is applied at the free...A large drum having radius $R$ is spinning around its axis with angular velocity $\omega$, as shown in figure. The minim...Two clocks A and B are being tested against a stranded clock located in the national laboratory At 10 : 00 AM by the sta...