Permutation and CombinationHard
Question
Number of ways in which 3 numbers in A.P. can be selected from 1, 2, 3,...... n is:
Options
A.
if n is even
B.
if n is odd
C.
if n is odd
D.
if n is even
Solution
Here given no. be 1,2,3,.........n
Let common difference = r
Total way of selection
= (1, 1 + r, 1 + 2r),(2, 2 + r, 2 + 2r), ..(n - 2r, n - r, n)
Total numbers are = (n - 2r)
Here rmin. = 1 and rmax. = (n - 1)/2
Case- I When n is odd
∴ rmax =
& total no. of selection is


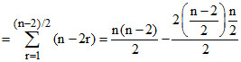
Case - II when n is even = rmax =
so total no. selection is


Let common difference = r
Total way of selection
= (1, 1 + r, 1 + 2r),(2, 2 + r, 2 + 2r), ..(n - 2r, n - r, n)
Total numbers are = (n - 2r)
Here rmin. = 1 and rmax. = (n - 1)/2
Case- I When n is odd
∴ rmax =
Case - II when n is even = rmax =
so total no. selection is
Create a free account to view solution
View Solution FreeMore Permutation and Combination Questions
The number of ways in which 3 different red, 3 different white and 3 different black balls can be arranged in a line suc...In a hall there are 10 bulbs and their 10 buttons. In how many ways this hall can be enlightened?...Number of ways in which 2 Indians, 3 Americans, 3 Italians and 4 Frenchmen can be seated on a circle, if the people of t...The number of ways in which we can arrange n ladies & n gentlemen at a round table so that 2 ladies or 2 gentlemen may n...Eight chairs are numbered from 1 to 8. Two women and three men wish to occupy one chair each. First women choose the cha...