Home
>
Math
>
Determinant
Determinant
Hard
Question
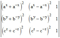
If a, b, c > 0 & x, y, z ∈ R, then the determinant
=
Options
A.
a
x
b
y
c
z
B.
a
-x
b
-y
c
-z
C.
a
2x
b
2y
c
2z
D.
zero
Solution
Applying C
1
→ C
1
- C
2
Create a free account to view solution
View Solution Free
Topic:
Determinant
·
Practice all Determinant questions
More Determinant Questions
Let m be a positive integer & Dr = (0 ≤ r ≤ m), then the value of is given by:...
The value of is-...
The value of the determinant is -...
In an upper triangular matrix A = [aij]n × n the elements aij = 0 for...
(where i = ) equals -...