DeterminantHard
Question
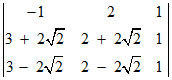
The absolute value of the determinant
is
Options
A.16√2
B.8√2
C.8
D.none
Solution
Applying R2 → R2 - R1 & R3 → R3 - R1
=
So absolute value is 16√2
Create a free account to view solution
View Solution FreeMore Determinant Questions
If x is a positive integers then the value of determinant is -...If = a0 + a1 (sin x) + a2 (sin2x) + ........ + an (sinnx) then the value of a0 is -...Which of the following is true for matrix A =...A1 = [ a1]A2 = A3 = ................................An = [....]Where ar = [ log2r ] ([.] denotes greatest integer). Then...-For positive numbers x, y, and z the numerical value of the determinant is...