Introduction to 3DHard
Question
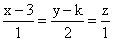
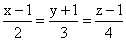
If the lines
and
intersect, then k is equal to:
and
intersect, then k is equal to:Options
A.0
B.- 1
C.2/9
D.9/2
More Introduction to 3D Questions
The locus of the point which moves such that its distance from (1, − 2, 2) is unity, is -...The angle between the line and the plane 2x − 3y + z + 4 = 0 is...If q denotes the acute angle between the line = (î + 2ĵ − ) + λ (î − ĵ + ) and the ...If the lines and are at right angles, then the value of k will be...A line makes angle 45o, 60, and 60o with the coordinate axis, the projection of line segments on line which joins point ...


