ElectrostaticsHard
Question
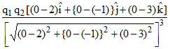
A charged particle q1 is at position (2, - 1, 3). The electrostatic force on another charged particle q2 at (0, 0, 0) is :
Options
A.
(2î − ĵ + 3
)
B.
(2î − ĵ + 3
)
C.
(ĵ − 2î − 3
)
D.
(ĵ − 2î − 3
)
More Electrostatics Questions
A thin spherical shell of radius R has charge Q spread uniformly over its surface. Which of the following graphs most cl...An uncharged sphere of metal is placed in a uniform electric field produced by two large conducting parallel plates havi...Two charges are placed as shown in fig. Where should be a third charge be placed so that it remains in rest condition : ...Two identical metal plates are given positive charge Q1 and Q2 ( 1) respectively. If they are now brought close together...The electric potential and field at a point due to an electric dipole are proportional to...
