Complex NumbersHard
Question
If (1 + i)z = (1 - i)
then z is
Options
A.t(1 - i), t ∈ R
B.t (1 + i), t ∈ R
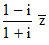
C.
, t ∈ R+
D.none of these
Solution
z =
⇒ z = - i
⇒ x + iy = - y - ix
⇒ x = - y
so z = x - ix , x ∈ R ⇒ x (1 - i) or t(1 - i), t ∈ R.
⇒ x = - y
so z = x - ix , x ∈ R ⇒ x (1 - i) or t(1 - i), t ∈ R.
Create a free account to view solution
View Solution FreeMore Complex Numbers Questions
Which of the following, loci of z on the complex plane represents a pair of straight lines ?...If √x (i + √y) − 15 = i (8− √y). Then x & y equals to-...(x, y)2 is equal to-...If 1 + 2i, − 2 + 3i, − 3 − 4i are vertices of a triangle, then its area is-...The sequence S = i + 2i2 + 3i3 +....... upto 100 terms simplifies to where i =...