Binomial TheoremHard
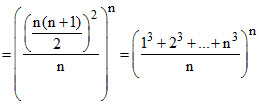
Question
Options
A.Less than 
B.Greater than or equal to 
C.Less than (n!)3
D.Greater than or equal to (n!)3.
More Binomial Theorem Questions
Let the co-efficients of xn in (1 + x)2n & (1 + x)2n - 1 be P & Q respectively, then =...If (1 + x)n = C0 + C1x + C2x2+ ...+ Cnxn, then C0C1 + C1C2 + C2C3 + ....+ Cn-1Cn is equal to-...The sum of coefficients of odd powers of x in the expansion of (1 + x)n is -...The value r for which (r30)(r15) +(r - 130) (115) +.....+(030)(r15) is maximum is/are -...The sum of 12 terms of the series 12C1.+ 12C2.+ 12C3.+ .... is -...