Binomial TheoremHard
Question
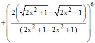
The expression,
is a polynomial of degree
Options
A.5
B.6
C.7
D.8
Solution
= 2 (6C0 (2x2 + 1)3 + 6C2(2x2 + 1)2(2x2 - 1) + 6C4 (2x2 + 1)(2x2 - 1) + 6C6(2x2 - 1)3)
clearly ′6′
Create a free account to view solution
View Solution FreeMore Binomial Theorem Questions
If the coefficients of Tr , Tr + 1 , Tr + 2 terms of (1 + x)14 are in A.P., then r -...If the coefficient of third term in the expansion of is 27 more than the coefficient of second term, then the value of n...If the 4th term in the expansion of is , then the values of a and n are-...In the expansion of (1 + x)n (1 + y)n (1 + z)n, the sum of the co-efficients of the terms of degree ′r′ is -...The sum of C02 − C12 + C22 − ....+ (−1)n Cn2 where n is an even integer, is-...