Binomial TheoremHard
Question
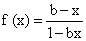
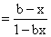
Let f : (0, 1) → R be defined by f(x)
, where b is a constant such that 0 < b < 1. Then
, where b is a constant such that 0 < b < 1. Then Options
A. f is not invertible on (0, 1)
B.f ≠ f-1 on (0, 1) and f′(b) =

C.f = f -1 on (0, 1) and f′(b) =

D.f -1 is differentiable on (0, 1)
Solution

Let y =

0 < x < 1 ⇒ 0 <
< 1
> 0 ⇒ y < b or y >
- 1 < 0 ⇒ – 1 < y <
∴ - 1 < y < b.
Create a free account to view solution
View Solution FreeMore Binomial Theorem Questions
The value of is -...The term independent of x in the expansion of is:...The coefficient of x5 in the expansion of (2 + 3x)12 is -...In the expansion of , n ∈ N, if the sum of the coefficients of x5 and x10 is 0, then n is :...The expression [x + (x3 − 1)1/2]5 + [x − (x3 − 1)1/2]5 is a polynomial of degree -...