Home
>
Math
>
Binomial Theorem
Binomial Theorem
Hard
Question
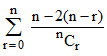
If a
n
=
, the value of
is :
Options
A.
n/2 a
n
B.
1/4 a
n
C.
na
n
D.
0
Solution
a
n
=
S =
S =
2S = 0 ⇒ S = 0
Create a free account to view solution
View Solution Free
Topic:
Binomial Theorem
·
Practice all Binomial Theorem questions
More Binomial Theorem Questions
The co-efficient of x in the expansion of (1 - 2 x3 + 3 x5) is :...
is...
nC0 − nC1 + nC2 − ......+ (−1)n =...
The sum , where = 0 if p ? q, is maximum when m is...
In the expansion of (1+ x)n,is equal to...