ElectroMagnetic InductionHard
Question
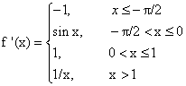
If f(x) =
, then
, thenOptions
A.f(x) is continuous at x = - π/2
B.f(x) is not differentiable at x = 0
C.f(x) is differentiable at x = 1
D.f(x) is differentiable at x = -3/2
Solution
f(x) = 0 = f (- π/2)
f(x) = cos
= 0 
Clearly, f (x) is not differentiable at x = 0 as f′( 0- ) = 0 and f′( 0+ ) = 1.
f (x) is differentiable at x = 1 as f′ ( 1- ) = f′ ( 1+ ) = 1.
Create a free account to view solution
View Solution FreeMore ElectroMagnetic Induction Questions
Among the following properties describing diamagnetism identify the property that is wrongly stated :-...The ratio of the secondary to the primary turns in a transformer is 3 : 2 and the output power is P. Neglecting all powe...A uniform magnetic field exists in region given by . A rod of length 5 m is placed along y - axis is moved along x - axi...A primary of a stepdown transformer used for ringing door bell has 2000 turns of fine wire and the secondary has 100 tur...A conducting rod AB moves with a uniform velocity v in a constant magnetic field as shown in fig....