DifferentiationHard
Question
If 2x + 2y = 2x + y , then
is equal to
Options
A.
B.
C.1 - 2y
D.
Solution
2x + 2y = 2x + y ... (i)
diff. both sides w.r.t.x
2x. ln2 + 2y . ln2
= 2x+y . ln2 
2x - 2x + y = (2x + y - 2y)
.... (ii)

from (i) & (ii)
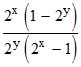
2x - 2x - 2y = (2x + 2y - 2y)
⇒
= 1 - 2y
diff. both sides w.r.t.x
2x. ln2 + 2y . ln2
2x - 2x + y = (2x + y - 2y)
from (i) & (ii)
2x - 2x - 2y = (2x + 2y - 2y)
⇒
Create a free account to view solution
View Solution Free