Home
>
Math
>
Differentiation
Differentiation
Hard
Question
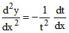
If x = at
2
, y = 2at, then
is equal to
Options
A.
B.
C.
D.
Solution
x = at
2
y = 2at
Create a free account to view solution
View Solution Free
Topic:
Differentiation
·
Practice all Differentiation questions
More Differentiation Questions
If y = x + ex, then is equal to -...
If ƒ(x) = logx {In (x)}, then ƒ′ (x) at x = e is equal to -...
The derivative of (tan x)x is equal to -...
If x = a cos, y = b sin, then is equal to -...
The derivative of log | x | is -...