DifferentiationHard
Question
Let g(x) be the inverse of an invertible function f(x) which is differentiable for all real x, then g″(f(x)) equals to
Options
A.
B.
C.
D.None of these
Solution
Given that g-1(x) = f(x)
⇒ x = g(f(x)) or g′(f(x)) f′(x) = 1
⇒ g′(f(x)) =
⇒ g″(f(x)) . f′(x) =
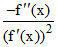
⇒ g″(f(x)) = -
⇒ x = g(f(x)) or g′(f(x)) f′(x) = 1
⇒ g′(f(x)) =
⇒ g″(f(x)) . f′(x) =
⇒ g″(f(x)) = -
Create a free account to view solution
View Solution FreeMore Differentiation Questions
Let ƒ(x) = x ≠ 0 ± 1, then derivative of ƒ(x) with respect to x is equal to-...If f′(x) = and y = f(x2), then at x = 1 is equal to...Let ƒ(x) = sinx, g (x) = x2 and h(x) = logex. if F(x) = (hog of) (x), then F′′(x) is equal to-...If y = ln , then the value of is -...If y = log , then dy/dx equals-...