LimitsHard

Question

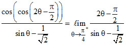
The value of equals

Options

A.2√2
B.-2√2
C.0
D.does not exist

Solution


Left hand limit =      

Right hand limit =

⇒  LHL ≠ RHL    ∴   Limit does not exist

Create a free account to view solution

View Solution Free
Topic: Limits·Practice all Limits questions

More Limits Questions