Current Electricity and Electrical InstrumentHard
Question
Two nonideal batteries are connected in parallel. Consider the following statements
(I) The equivalent emf is smaller than either of the two emfs.
(II) The equivalent internal resistance is smaller than either of the two internal resistance.
(I) The equivalent emf is smaller than either of the two emfs.
(II) The equivalent internal resistance is smaller than either of the two internal resistance.
Options
A.Both I and II are correct
B.I is correct but II is wrong
C.II is correct but I is wrong
D.Each of I and II is wrong.
Solution
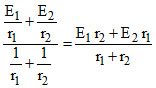
Eeq =
req = 
Therefore statement II is correct bul I is wrong.
Therefore statement II is correct bul I is wrong.
Create a free account to view solution
View Solution FreeTopic: Current Electricity and Electrical Instrument·Practice all Current Electricity and Electrical Instrument questions
More Current Electricity and Electrical Instrument Questions
Let P(6, 3) be a point on the hyperbola . If the normal at the point P intersects the x-axis at (9, 0), then the eccentr...Figure shows a thick copper rod X and a thin copper wire Y, joined in series. They carry a current which is sufficient t...In an A.C. circuit, the current flowing in inductance is I= 5 sin (100t - π / 2)amperes and the potential different...A long solenoid of diameter 0.1 m has 2 × 104 turns per meter. At the centre of the solenoid, a coil of 100 turns ...The resistance of the rheostat shown in figure is 30 Ω. Neglecting the ammeter resistance, the ratio of minimum and...