LimitsHard
Question
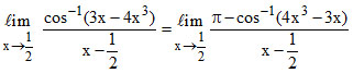
The value of
equals
Options
A.2
B.2√3
C.-2√3
D.does not exist
Solution
L = 
Let θ = cos-1 x ∵ As x →
∴ θ → 
⇒ L =
Now LHL =


Also, RHL =

= - 2√3
⇒ LHL ≠ RHL ∴ Limit does not exist
Let θ = cos-1 x ∵ As x →
⇒ L =
Now LHL =
Also, RHL =
⇒ LHL ≠ RHL ∴ Limit does not exist
Create a free account to view solution
View Solution Free