Home
>
Math
>
Limits
Limits
Hard
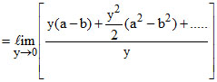
Question
is equal to
Options
A.
a + b
B.
a - b
C.
b - a
D.
-(a + b)
Solution
by expansion
= a - b
Create a free account to view solution
View Solution Free
Topic:
Limits
·
Practice all Limits questions
More Limits Questions
The value of(x + ex)2/x is -...
The function f(x) = (x2 - 1) | x2 - 3x + 2 | + cos (| x |) is not differentiable at...
is equal to...
If f(x) = , then...
The value of ax sin (b / ax) is (a > 1) -...