LimitsHard
Question
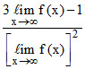
If
f(x) exists and is finite and nonzero and
= 3, then the value of
f(x) is equal to
Options
A.1
B.-1
C.2
D.none of these
Solution
⇒
Let
A +
⇒ A = 1
so
Create a free account to view solution
View Solution FreeCreate a free account to view solution
View Solution Free