Home
>
Math
>
Limits
Limits
Hard
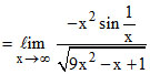
Question
is equal to
Options
A.
1/3
B.
-1/3
C.
0
D.
does not exist
Solution
Create a free account to view solution
View Solution Free
Topic:
Limits
·
Practice all Limits questions
More Limits Questions
equals-...
The function f(x) is defined by f(x) =...
equals-...
The graph of the function y = f(x) is shown in the adjacent figure, then correct statement is...
The value of (a > b) is -...