LimitsHard

Question

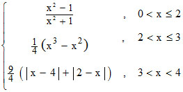
If f (x) = , then:

Options

A.f(x) is differentiable at x = 2 & x = 3
B.f(x) is non-differentiable at x = 2 & x = 3
C.f(x) is differentiable at x = 3 but not at x = 2
D.f(x) is differentiable at x = 2 but not at x = 3.

Solution

f(x) = = f(2) ≠ f(x) = 1
f(x) is not continous at x = 2
f(x) = f(x) = f(3) = 9/2
Now    LHD (x =3) is

and  RHD (x = 3) is
f(x) is not differentiable at x =2 and x = 3

Create a free account to view solution

View Solution Free
Topic: Limits·Practice all Limits questions

More Limits Questions