JEE Advanced | 2012Straight LineHard
Question
A line is drawn through the point (1, 2) to meetthe coordinate axes at P and Q such that it formsa triangle OPQ, where O is the origin. If the areaof the triangle OPQ is least, then the slope ofthe line PQ is :
Options
A.

B.

C.- 4
D.- 2
Solution
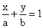
Let the equationof line be 
It passes through (1, 2)
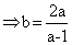
∴


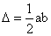
Area of



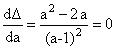
but at a = 0,ᐃ not possible
∴ a = 2
slope of line

It passes through (1, 2)
∴



Area of




but at a = 0,ᐃ not possible
∴ a = 2
slope of line

Create a free account to view solution
View Solution FreeMore Straight Line Questions
Given A(0, 0) and B(x, y) with x ∈ (0, 1) and y > 0 let the slope of line AB equals m1. Point C lies in the line x...If the straight lines joining the origin and the points of intersection of the curve 5x2 + 12xy - 6y2 + 4x - 2y + 3 = 0 ...The equations of two sides of a square whose area is 25 square units are 3x − 4y = 0 and 4x + 3y = 0. The equation...The equation of a line parallel to x + 2y = 1 and passing through the point of intersection of the lines x − y = 4...ax − by − a2 = 0, where a, b are non-zero, is the equation to the straight line perpendicular to a line l an...