LimitsHard
Question
If l = 
, where l ∈ R, then
Options
A.(a, b) = (-1, 0)
B.a & b are any real numbers
C.l = 0
D.l = 1/2
Solution
For 
for (0/0) form
1 + a = 0 ⇒ a = - 1
for
so b = 0
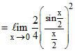
Now l =



=
(1)2 = 
∴ (a, b) = (-1, 0) and l =
for (0/0) form
1 + a = 0 ⇒ a = - 1
for
so b = 0
Now l =
=
∴ (a, b) = (-1, 0) and l =
Create a free account to view solution
View Solution Free