Indefinite IntegrationHard
Question
If I =
dx = A cosx + B ln |f(x)| + C, then
Options
A.A =
, B =
, f(x) = 
B.A = -
, B =
, f(x) = 
C.A = -
, B =
, f(x) = 
D.A =
, B =
, f(x) = 
Solution
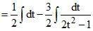
I =
put cos x = t = - sin x dx = dt
I = -


=
cosx -
ln
+ C
A =
, B =
, f(x) = ln 
or A =
, B =
, f(x) = ln 
I = -
=
A =
or A =
Create a free account to view solution
View Solution Free