Differential EquationHard
Question
The population p(t) at time t of a certain mousespecies satisfies the differential equation
= 0.5 p(t) - 450. If p(0) = 850, then thetime at which the population becomes zero is:
= 0.5 p(t) - 450. If p(0) = 850, then thetime at which the population becomes zero is:Options
A.ln18
B.2 ln18
C.ln9
D.1/2 ln18
Solution

integrate

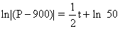
....(1)given t = 0 → P = 850
C = ln 50
from (1)



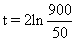
at P = 0

t = 2ln18
Create a free account to view solution
View Solution FreeMore Differential Equation Questions
The order and degree of differential equation of all tangent lines to parabola x2 = 4y is...If y = e(k + 1)x is a solution of differential equation + 4y= 0, then k =...The solution of the differential equation (x + y) (dx - dy) = dx + dy is...A function f(x) satisfying f (tx)dt = nf (x), where x > 0, is -...At present a firm is manufacturing 2000 items. It is estimated that the rate of change of production P w.r.t. additional...