Indefinite IntegrationHard
Question
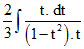
The value of
is equal to
Options
A.
B.
C.
D.
Solution
I = 
Put 1 - x3 = t2 ⇒ x2 dx = 
⇒ I = -


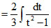
=
⇒ I = -
=
Create a free account to view solution
View Solution FreeCreate a free account to view solution
View Solution Free