Home
>
Math
>
Indefinite Integration
Indefinite Integration
Hard
Question
The value of
dx is equal to
Options
A.
B.
(x
4
+ 1)
1/4
+ C
C.
D.
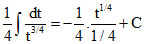
Solution
put 1 +
= t ⇒ -
dx = dt
⇒ I = -
=
Create a free account to view solution
View Solution Free
Topic:
Indefinite Integration
·
Practice all Indefinite Integration questions
More Indefinite Integration Questions
dx equals-...
If dx = K sin-1 (2x) + C, then the value of K is equal to...
dx equals-...
The value of dx, where 0 < a < x < p, is equal to...
is equal to-...