FunctionHard
Question
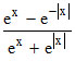
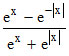
Let f be a real valued function defined by f(x) =
, then the range of f(x) is :
Options
A.R
B.[0, 1]
C.[0, 1)
D.[0, 1/2)
Solution
f(x) = 
if x ≥ 0, f(x) =
; f(x) ∈
........(i)
f(x) ∈
if x < 0, f(x) =
= 0 .........(ii)
∴ range of f(x) is (i) ∪ (ii) =
if x ≥ 0, f(x) =
f(x) ∈
if x < 0, f(x) =
∴ range of f(x) is (i) ∪ (ii) =
Create a free account to view solution
View Solution FreeMore Function Questions
The domain where function f(x) = 2x2 − 1 and g(x) = 1 − 3x are equal, is-...If x2 − 1 ≤ 0 and x2 − x − 2 ≥ 0, then x line in the interval/set...Which one of the following pair of functions are identical ?...If g(x) is a polynomial satisfying g(x) g(y) = g(x) + g(y) + g(xy) - 2 for all real x and y and g(2) = 5 then g(3) is eq...Let f : R → R be a function defined by f(x) = , then f is:...