CapacitanceHard
Question
The time constant of the circuit shown is :


Options
A.RC/2
B.3RC/5
C.RC/3
D.RC/4
Solution

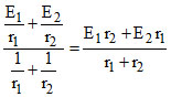
⇒ E =
Equivalent battery

imax =

for Qmax ⇒

i =
potential on C = potential on 2R resistance = i3 × 2R = ε
charge on capacitor Qmax = CV = Cε τ =
Create a free account to view solution
View Solution FreeMore Capacitance Questions
For a charged parallel plate capacitor shown in the figure, the force experienced by an alpha particle will be :...A parallel plate capacitor is charged with a battery and afterwards the battery is removed. if now with the help of insu...The EMF generated across a thermocouple, with cold junction at 0°C, is :e = aθ + bθ2with a = 1μ V(oC)W...The energy density in a parallel plate capacitor is given as 2.1 × 10−9 J/m3. The value of the electric field...The instantaneous charge on capacitor in two discharging RC circuits is plotted with respect to time in figure. Choose t...