FunctionHard
Question
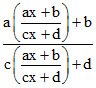
If f(x) =
, then (fof) (x) = x, provided that
Options
A.d + a = 0
B.d - a = 0
C.a = b = c = d = 1
D.a = b = 1
Solution
f(x) = 
fof(x) =
fof(x) =
fof(x) =
= x
on comparing coefficient of both side (a2 + bc) x + (ab + bd) = (ac + cd) x2 + (bc + d2) x
a2 + bc = bc + d2 ⇒ a = d or a = - d
and ab + bd = 0 ⇒ b = 0 or a = - d
and ac + cd = 0 ⇒ c = 0 or a = - d
which can be simultaneously true for a = - d
fof(x) =
fof(x) =
fof(x) =
on comparing coefficient of both side (a2 + bc) x + (ab + bd) = (ac + cd) x2 + (bc + d2) x
a2 + bc = bc + d2 ⇒ a = d or a = - d
and ab + bd = 0 ⇒ b = 0 or a = - d
and ac + cd = 0 ⇒ c = 0 or a = - d
which can be simultaneously true for a = - d
Create a free account to view solution
View Solution FreeMore Function Questions
Let f(x) be a function whose domain is [- 5, 7]. Let g(x) = |2x + 5|, then domain of (fog) (x) is...The function f(x) = x2 − |x| is -...Let $\alpha,\beta \in \mathbb{R}$ be such that the function$$f(x) = \left\{ \begin{matrix} 2\alpha\left( x^{2} - 2 \righ...If f(x) = cos (log x), then equals-...For real x, the function will assume all real values provided....