FunctionHard
Question
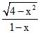
If f(x) = sin ln
, then
Options
A.domain of f(x) is (- 2, 1)
B.domain of f(x) is [-1, 1]
C.range of f(x) is [-1, 1]
D.range of f(x) is [-1, 1)
Solution
f(x) = sin log 
4 - x2 > 0 or or x ∈ (-2, 2)
and
> 0
D : (-2, 1)
R : [-1, 1]
4 - x2 > 0 or or x ∈ (-2, 2)
and
D : (-2, 1)
R : [-1, 1]
Create a free account to view solution
View Solution FreeMore Function Questions
If [2 cos x] + [sin x] = - 3, then the range of the function, f(x) = sin x + √3 cos x in [0, 2 π] is: (where ...f : R → R & f(x) = x6 - 3x5 + 8x3 + 5. Then f(x) is -...The domain of the function f(x) = x! is -...The function f: R ~ {0} → R given by f(x) = can be made continuous at x = 0 by defining f(0) as...The function cot (sin x)-...