Differential EquationHard
Question
The equation of the curve satisfying the differential equation y2 (x2 + 1) = 2xy1 passing through the point
(0, 1) and having slope of tangnet at x = 0 as 3, is
(0, 1) and having slope of tangnet at x = 0 as 3, is
Options
A.y = x2 + 3x + 2y = x2 + 3x + 2
B.y2 = x2 + 3x + 1
C.y = x3 + 3x + 1
D.none of these
Solution
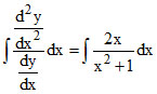
⇒
⇒ ln
⇒
⇒
⇒ y = x3 + 3x + 1
Create a free account to view solution
View Solution FreeMore Differential Equation Questions
The differential equation of all parabola having their axis of symmetry coinciding with the x-axis is...A normal is drawn at a point P(x, y) of a curve. It meets the x-axis and the y-axis in point A and B, respectively, such...The differential equations of all circles passing through origin and having their centres on the x-axis is...The order and degree the differential equation of all tangent lines to the parabola x2 = 4y is -...The solution of the differential equation, ex(x + 1)dx + (yey - xex)dy = 0 with initial condition f(0) = 0, is -...