Differential EquationHard
Question
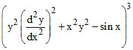
If p and q are order and degree of differential equation y2
+ x2y2 = sin x, then :
Options
A.p > q
B.
C.p = q
D.p < q
Solution
y2
+ x2y2 - sin x = - 3x
= - 9x3 
here order = 2 = p
Degree = 6 = q ∴ p < q
here order = 2 = p
Degree = 6 = q ∴ p < q
Create a free account to view solution
View Solution FreeMore Differential Equation Questions
The general solution of the differential equation = is-...The solution of the differential equation dy/dx = cot2 (x + y) is-...If y = e-x cos x and yn + kn y = 0, where yn = and kn, n ∈ N are constants....The differential equation represrnting the family of curves y2 = 2c(x + √c ) where c is a positive parameter, is o...The solution of = x log x is-...