Alternating CurrentHard
Question
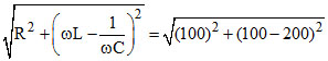
A circuit is set up by connecting L = 100 mH, C = 5 πF and R =100 Ω in series. An alternating emf of (150√2) volt, 500/π Hz is applied across this series combination. Which of the following is correct
Options
A.the impedance of the circuit is 141.4 Ω
B.the average power dissipated across resistance 225 W
C.the average power dissipated across resistance 225 W
D.the average power dissipated across capacitor is zero.
Solution
Z =
= 100√2
Irms =
PR = Irms2 R
PL = 0
PC = 0
Irms =
PR = Irms2 R
PL = 0
PC = 0
Create a free account to view solution
View Solution FreeMore Alternating Current Questions
The average power delivered to a series AC circuit is given by (symbols have their usual meaning) :...A shorticircuited coil is placed in a time verying magnetic field. Electric power is disspated due to the current induce...A capacitor of capacitance 100 μF & a resistance of 100W is connected in series with AC supply of 220V, 50Hz. The c...For an alternating current I = I0cos ωt, What is the rms value and peak value of current :-...In the given a.c. circuit, choose the correct statement(s).In the given a.c. circuit, choose the correct statement(s)....