Home
>
Math
>
Definite Integration
Definite Integration
Hard
Question
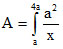
The area contained between the curve xy = a
2
, the vertical line x = a, x = 4a (a > 0) and x-axis is
Options
A.
a
2
ln 2
B.
2a
2
ln 2
C.
a ln 2
D.
2a ln 2
Solution
= a
2
= a
2
ln 4
Create a free account to view solution
View Solution Free
Topic:
Definite Integration
·
Practice all Definite Integration questions
More Definite Integration Questions
equals-...
The area bounded by the curve y = 1/x2 and its asymptote from x = 1 to x = 3 is...
The value of dx is ([x] stands for greatest integer less than or equal to x)...
|sinπ x| dx is equal to...
equals-...