Definite IntegrationHard
Question
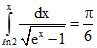
If
, then x is equal to
Options
A.4
B.ln 8
C.ln 4
D.none of these
Solution
∵ I = 
Let ex/2 = z
⇒ I = 2
= 2 sec-1z + c = 2sec-1(ex/2) + c
Given
= 2 [sec-1(ex/2) - sec-1√2]
∴ sec-1(ex/2) =
∴ ex/2 = 2
⇒ x/2 = ln 2 ⇒ x = ln 4
Let ex/2 = z
⇒ I = 2
= 2 sec-1z + c = 2sec-1(ex/2) + c
Given
∴ sec-1(ex/2) =
∴ ex/2 = 2
⇒ x/2 = ln 2 ⇒ x = ln 4
Create a free account to view solution
View Solution Free